江苏求越金属制品有限公司欢迎您!
不锈钢板激光切割加工戴南不锈钢板材专业供应商-激光切割钣金折弯焊接加工定制--江苏求越金属制品有限公司
7*24小时服务热线:
15295264888
新闻中心news
行业资讯

常用不锈钢牌号

作者:创始人 日期:2025-09-27 人气:7

不锈钢按冶金学特征分为五类:奥氏体不锈钢、铁素体不锈钢、马氏体不锈钢、奥氏体-铁素体(双相) 钢、和沉淀硬化钢。


1、奥氏体不锈钢-牌号近似对照

10-1.png


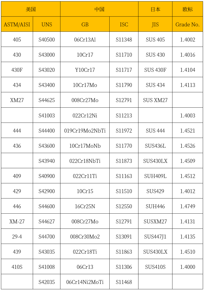
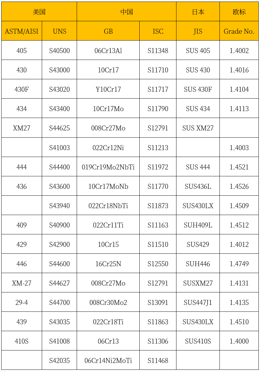
2、铁素体不锈钢-牌号近似对照

10-2.png


3、马氏体不锈钢-牌号近似对照

10-3.png


4、双相(奥氏体-铁素体)不锈钢-牌号近似对照

10-4.png


5、沉淀硬化型不锈钢-牌号近似对照

10-5.png

0
0
付款方式
×